歐元區預實施萬億QE,歐美面臨長線拐點

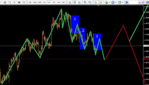
歐元從波浪理論圖解上看最近的下跌1是耶倫樂觀講話+2歐洲央行承認了通縮風險+3公開討論1萬億歐元的量化寬松,目前來看眼下的這20天空頭行情只回調了300點的行情,其背后反映了歐元的強勢,至于為何歐元強勢難以改變用反射理論可以非常貼切的解讀,只是目前中國研究反射的人數太少!

從目前的形式來看只有德拉吉真正實行萬億的寬松才能徹底扭轉,對于長期做歐元的朋友,這是今年年非常重大的一個拐點,因為這里歐洲QE是為了目標性的解決通縮問題,美國的QE不是為了實現通脹,完全相反的是用嚴格控制通脹延長低利率刺激經濟然后反過來抑制通脹的策略,歐美在最近這個這個強勢的背景下短期是沒有中長線指引的,因為能不能開始產生歷史性高點全由德拉吉說了算!

反過來,如果德拉吉只是口頭上說一說,歐美還是要繼續破掉新高1.3965,在天圖的圖表上波浪是在一個大的B浪C3或者大C2頂部,這個問題在波浪視頻上反復提到,如果歐洲實行寬松市場會在后面展開長線的大C浪3行情,是外匯市場重大的交易機會,最近和粉絲們一同跟蹤,結合技術的反饋跟蹤歐元的趨勢拐點和操作策略!

EU(聲明:尊重版權轉載請注明出處,以上僅持有個人觀點,本文內容僅供投資者參考,據此操作本人不承擔任何責任)

<< 返回首頁     發表評論

相關文章

4 Responses to “歐元區預實施萬億QE,歐美面臨長線拐點”


  1. 歐元在走天圖級別的C5終結,這個形態能解釋一切歐元強勢屬于盡頭行為


  2. 黃金怎么看?


  3. 的確是有分歧,要么一直上漲到1.44,要么跌入谷底,攤上大事兒了。

留下評論

CommentLuv badge