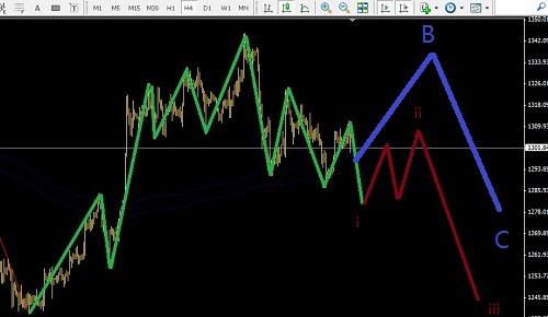
美元進入調整,博美日700點多頭行情

波浪理論圖解美元指數正處在調整階段,具體處于C浪1的位置,后面判斷有一個下跌的反彈行情,不具有操作價值,比如去逆勢做多歐美,做空美日,做多澳美都是順小逆大的操作,…
二月 13th, 2015 5 人評論

希臘進入死磕節奏,黃金低位埋伏千點多單

希臘已經進入破產邊緣,在債權人眼里希臘就是個填不滿的無底洞,這會讓希臘的局勢一邊倒,而且西班牙也進入效仿階段,這無疑在為歐元區后面的退出風波推波助瀾,與它最為相…
二月 9th, 2015 19 人評論

原油正在由空轉多,抓住這波反彈行情

原油在背后由美國+沙特對俄羅斯的一場戰役后,15年的2月沙特開始對美上調原油價格這是在給美國的頁巖油一種緩沖,關于原油市場有很多理解,我更偏向與沙特和美國是站在一起…
二月 6th, 2015 7 人評論

上證指數進入4浪調整,后面還有一波多頭行…

上證指數用波浪理論解讀在走完一波主升浪之后進入4浪調整區域,現在剛剛在4A里面,后面還有4B,4C,這波調整的級別是一個針對于前面整個3浪從1990到3400的調整浪,時間通…
二月 3rd, 2015 暫無評論

合力的力量:當波浪理論結合背后的基本面時

市場上永遠逃不了技術與基本面相互否定,又相互需要的人群,沒什么大不了的,這就是自然,總是在有人喜歡的同時有人反對,如果你是一個只關心如何不斷提高自己的人,那就都…
一月 31st, 2015 4 人評論

滬銅指數進入加速區,鐵礦石持續性空頭

在期貨市場中最有把握的現在除去一個原油的空頭,因為油價剛剛打擊到美國頁巖油,打底還需要一段時間,目前的低位眼前是空頭趨勢,但這個空頭趨勢操作價值很小,在重復一遍…
一月 28th, 2015 4 人評論

基本面高手必備:運用波浪理論設止損

基本面的老手最擅長的事情就是讀準市場的趨勢,在趨勢是否在延續還是正在進入拐點期有著極其敏銳的嗅覺,而把握具體的止損位實在是弱不禁風,因為總是停留在自認為很好的點…
一月 23rd, 2015 8 人評論

原油面臨反彈多頭,空頭出場反手短線多頭

跟蹤原油的基本面對期貨和外匯市場是非常重要的,因為它對很多產品能產生直接關系,目前關系最大的與歐洲和日本的通縮形成了加強,這會進一步加強日元和歐元的貶值。 原油背…
一月 21st, 2015 8 人評論

斯彬教你如何做資金管理與風險控制*視頻

如果你是一個手持現金的投資者,做投資的核心理念是做有把握的事情,可是有把握的事情不意味著能夠100%的成功率,關于這一點在自信來源于對確定性的深度理解中分享過,那么…
一月 16th, 2015 2 人評論

斯彬教你如何運用波浪理論進場、加倉、出場

加倉首先是一個老手有一定實力之后才會去真正挑戰的事情,新手學習先裝在腦庫里就好,看懂與能夠知行合一還有十足的差距。加倉只適合在中長線上,如果你非要用到短線上,我…
一月 16th, 2015 暫無評論

鐵礦石持續下跌,澳元同步第3波

鐵礦石的天圖級別是一個標準的空頭延長浪,細節上市場剛剛走完3浪4,后面的空頭行情時間還講持續一段時間,其中最復雜時間最長的在后面的4浪,鐵礦石期貨堅決做空。 與鐵礦…
一月 5th, 2015 暫無評論

斯彬教你波浪理論如何正確數浪|錯誤數浪匯…

波浪理論正確數浪的基本功:想精通波浪的投資者記住了=三鐵律不可違背,也不需要違背! 1.2不破1底,其核心意思只有一個,2浪是絕對不可能跑到1浪下面去的,如果出現那一定是…
一月 3rd, 2015 11 人評論

掌握波浪理論進場的要害-調整末期

做交易的黃金法則第一條是要順勢而為,實戰過程中究竟如何把握呢?首先波浪理論中有一條非常重要的理念,進場的關鍵是要在調整末期的末期進場! 無論是股票、期貨、外匯市場…
一月 2nd, 2015 1人評論

美元多頭一波流,黃金順勢做空

美元指數天圖的波浪理論圖解在3浪的主升浪之中,具體的是一個9波結構,目前在第7波里面,對數浪暫時還很迷惑的朋友如果你不懂C浪2的位置為何這么標注,只需要去看歐元兌美…
十二月 30th, 2014 19 人評論

滬鋅出現天圖級別的引導楔形

大家認真看第一段:做交易要么選最好的趨勢(索羅斯只做天圖一波流,在近5年做的所有行情進場開始就是一波流,有興趣的朋友可以自己去專研),要么選最好的固定模型(根據自…
十二月 29th, 2014 7 人評論